오늘은 회귀 모수에 대한 유의성검정과 p-값에 대해 알아보도록 하겠습니다.
유의성검정을 통해 회귀 모수가 통계적으로 유의한 지 검정할 수 있습니다.
p-값은 유의 확률이라고도 부르며 가설검정에서 제1종 오류가 발생할 확률, 즉 귀무가설이 맞는데 기각할 확률을 의미합니다.
유의성검정
회귀 분석을 한 뒤 우선적으로 관심을 가져야 할 사항은 회귀 모수 추정값이 통계적으로 유의한 지입니다.
통계적으로 유의하다는 것은 회귀 분석 결과 구한 추정값이 실제로도 의미가 있는 값이고 우연에 의해 구해진 값이 아님을 나타냅니다.
회귀 모수 추정치에는 y절편 b1과 회귀 계수 b2가 있습니다. 보통 유의성검정 실행 시 회귀 계수 b2에 더 관심을 갖습니다.
회귀 계수 b2는 변수들 사이에 어떤 관계가 있는 지를 추정한 값이고 유의성검정을 통해 독립변수와 종속변수 사이에 실제로 관계가 존재함을 검정합니다.
유의성검정을 실행하기 위해서는 회귀 모수 "β2 = 0" 혹은 "β1 = 0"을 귀무가설로 설정해 놓고 가설검정을 실시하면 됩니다.
가설검정에 대한 내용은 아래의 링크를 클릭하면 확인하실 수 있습니다.
https://bigdata-doctrine.tistory.com/43
회귀 모수에 대한 검정: 가설검정
오늘은 회귀 모수에 대한 가설검정에 대해 알아보도록 하겠습니다. 가설검정을 통해 회귀 모수에 대한 가설을 설정하여 그 가설이 타당한지를 검정할 수 있습니다. 가설검정이란? 가설검정은
bigdata-doctrine.tistory.com
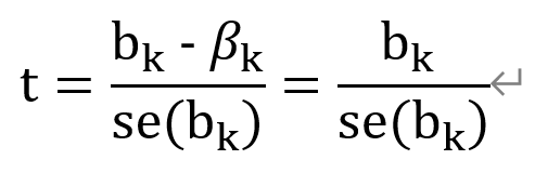
회귀 모수 추정값에 대한 t-값은 다음과 같은 수식으로 이루어집니다.

귀무가설이 "β2 = 0" 혹은 "β1 = 0"이기 때문에 βk는 지워집니다. t-값은 귀무가설이 참인 경우의 검정 통계량입니다.
t-값이 기각역에 위치할 경우 귀무가설을 기각합니다. 귀무가설이 기각될 경우 유의수준이 0.05라고 한다면 5% 유의수준에서 회귀 모수 추정값이 통계적으로 유의하다고 설명할 수 있습니다.
p-값
p-값은 귀무가설이 참이라고 가정할 때, 해당 표본평균값(회귀모수 추정치) 혹은 그보다 더 극단적인 값이 나타날 확률을 의미합니다.
따라서 p-값과 유의수준 α를 비교함으로써 귀무가설 기각 여부를 결정할 수 있습니다.
p-값이 유의수준 α보다 작다는 것은 유의수준 α에 위치한 임계값보다 극단적인 t-값이 나타났다는 뜻이므로 귀무가설을 기각하게 됩니다.
단측검정이냐 양측검정이냐에 따라 하나의 귀무가설에서 여러 p-값이 나올 수 있습니다.
보통 회귀 모수 추정값에 대한 유의성검정에서는 양측검정을 사용하기 때문에 이 경우에는 t-분포에서 t-값의 좌우에 위치한 값의 넓이를 계산하여 p-값을 구할 수 있습니다.

t-분포 그래프에서 Critical Value(임계값)의 좌우에 위치한 빨간색+파란색 공간의 넓이가 유의수준 α입니다.
그리고, t-value의 좌우에 위치한 파란색 공간의 넓이는 p-값입니다.
위의 그림에서 p-값이 유의수준 α보다 작기 때문에, 즉 t-값이 기각역에 위치해 있기 때문에 귀무가설을 기각합니다.
오늘은 회귀 모수에 대한 유의성검정과 p-값에 대해 알아보았습니다.
'정보 > 수리통계' 카테고리의 다른 글
| 회귀 모수에 대한 검정: 가설검정 (0) | 2023.07.29 | 
|---|---|
| 회귀 모수 추정: 표준오차(se)를 통한 구간 추정 (2) | 2023.07.25 | 
| 회귀 모수 추정: 최소제곱법(OLS) 활용 (0) | 2023.07.21 | 
| 단순 선형회귀 모형에 관한 가정 (SR3~SR6) (0) | 2023.03.13 | 
| 단순 선형회귀 모형에 관한 가정 (SR1~SR2) (0) | 2023.03.06 | 
 
									
								